
作者:ADI产品应用工程师Stephen Nugent
源极和漏极之间的关断电容CDS(OFF)可用来衡量关断开关后,源极信号耦合到漏极的能力。它是固态继电器(如PhotoMOS®、OptoMOS®、光继电器或MOSFET继电器)中常见的规格参数,在固态继电器数据手册中通常称为输出电容COUT。CMOS开关通常不包含此规格参数,但关断隔离度是表征相同现象的另一种方法,关断隔离度定义为,开关关断状态下,耦合到漏极的源极的信号量。ADI将在本文讨论如何从关断隔离度推导出COUT,以及如何通过它来更有效地比较固态继电器和CMOS开关的性能。这一点很重要,因为CMOS开关适合许多使用固态继电器的应用,例如切换直流信号和高速交流信号。
如何从关断隔离度导出CDS(OFF)
图1显示ADG5412的关断隔离度与频率的典型性能图。该图显示,当源极上的信号频率上升时,关断隔离度降低。

图1.ADG5412关断隔离度与频率的关系(±15V双电源)
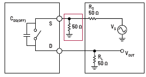
这意味着,随着信号频率增加,源极上有更多信号会出现在关断开关的漏极。如果您观察开关的等效电路在关断状态下的表现,如图2中的测试电路所示,会发现这种状况不足为奇。当开关处于断开状态时,源极和漏极之间存在寄生电容,即图中的CDS(OFF)。这种寄生电容使高频信号能够通过,关断隔离图就是为了确定这些特征。

图2.关断隔离度测量测试电路
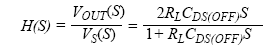
从图2所示的测试电路中获取VS和VOUT,然后将它们代入以下公式中,以计算关断隔离度:

将从关断隔离图中得到的结果应用到开路开关的等效电路中,可计算得出CMOS开关的CDS(OFF)。首先,如果考虑关断开关通道和负载,可以将电路视为高通滤波器,如图3所示。

图3.CDS(OFF)和RL高通滤波器
所示电路的转换函数可以通过以下公式计算得出:

接下来,考虑源电压VS及其阻抗,如图2所示。源阻抗RS为50Ω,与50Ω负载阻抗RL匹配。假设在理想情况下,CDS(OFF)短路,那么在阻抗相等时,VS为VIN的2倍。这意味着,当根据VS计算转换函数时,整个转换函数会翻倍。
所以,整个系统的转换函数为:

然后,可以将这个转换函数代入关断隔离度公式,得出:

然后,重新变换该公式,求解CDS(OFF)的值:

这意味着,如果知道RL、输入信号的频率f,以及关断隔离规格值(dB),就可以计算出CDS(OFF)。这些值可以在ADI产品系列中的开关或多路复用器产品的数据手册中找到。以下示例将展示其执行步骤。
CDS(OFF)计算示例
本例使用受SPI控制的4路SPST开关ADGS1612。ADGS1612的关断隔离规格为−65dB,可以在数据手册中的表1中找到。根据关断隔离规格的测试条件部分,RL为50Ω,信号频率f为100kHz。将这些值代入CDS(OFF)公式,可以计算得出电容值。

注意,在开关与多路复用器的关断隔离测量电路中,在开关通道的源极引脚之前,可能包含一个额外的50Ω端接电阻,如图4所示。采用以这种方式测量得出的关断隔离规格,仍然可以使用CDS(OFF)公式进行计算。但是,如果源极引脚使用50Ω端接电阻(随后用于CDS(OFF)公式中),需要在数据手册给出的关断隔离规格的基础上加上6dB。这是为了进行补偿,因为源极的50Ω端接电阻会使电压减半,相当于−6dB。

图4.源极上具有50 Ω端接电阻的关断隔离度测试电路
CMOS开关与固态继电器的关系
表1显示从ADI产品系列中选择的开关产品的CDS(OFF)值。ADG54xx和ADG52xx系列可以处理摆幅高达44V的信号电压,ADG14xx和ADG12xx系列可以传输摆幅高达33V的信号电压。这种可比较信号的范围为30V至40V固态继电器。表中的最后一列还显示了如何使用CDS(OFF)和开关导通电阻来计算RON、CDS(OFF)乘积,在固态继电器中,它被用作等第值(order of merit)。RON、CDS(OFF)乘积显示在开关开启时,对信号的衰减影响非常小,以及开关在关断时,阻截高速信号的作用有多强。该表显示ADG1412的RON、COFF乘积小于5,在市面上的固态继电器中,这一点相当有优势。
表1.在ADI产品系列中选择SPST × 4开关的CDS(OFF)
最大电源电压 | 关断隔离 | CDS(关断) | 导通电阻 | R × C | |
ADG5412 | ±22V、+40V | -78dB (100kHz) | 4pF | 9.8Ω | 39.2 |
ADG5212 | ±22V、+40V | –80dB (1MHz) | 0.32pF | 160Ω | 51.2 |
ADG1412 | ±16.5V、+16.5V | –80dB (100kHz) | 3.2pF | 1.5Ω | 4.8 |
ADG1212 | ±16.5V、+16.5V | –80dB (1MHz) | 0.32pF | 120Ω | 38.4 |
与固态继电器相比,CMOS开关具有多项优势。具体包括:
►更易于驱动开关逻辑
ADI大部分CMOS开关的典型数字输入电流为1nA,而固态继电器中二极管的推荐正向电流为5mA。这意味着,CMOS开关易于直接被微控制器上的GPIO控制。
►更快的开关速度
ADG1412的典型开启时间为100ns,固态继电器的开启时间为几百毫秒。
►单个封装内集成更多开关
例如,ADGS1414D采用5mm × 4mm封装,具有8个开关通道、1.5Ω导通电阻和5pF CDS(OFF)。也就是说,每2.5mm2封装面积内一个开关。
结论
开关在关断状态下阻截信号的能力至关重要。在固态继电器中,COFF规格用于衡量开关两端的电容,它允许输入信号耦合到关断开关的输出。在CMOS开关中,不会直接测量此电容;但是,可以通过关断隔离度规格来推算此电容。通过推导开路开关的转换函数,可以使用关断隔离度值(dB)、输入信号的频率和负载电阻来确定CDS(OFF)。在比较CMOS开关和固态继电器的COUT规格时,CDS(OFF)是一个重要值。此外,CDS(OFF)还可用于计算RON、CDS(OFF)乘积,这是一个等第值,用于显示开关的整体关断隔离和信号丢失性能。这样针对应用选择开关时,就可以更直观对CMOS开关和固态继电器进行比较选择。相比固态继电器,CMOS开关也有诸多优势,例如,更易于驱动开关逻辑、更快的开关速度,以及能够在封装中集成更多开关。
关于ADI公司
Analog Devices, Inc. (NASDAQ: ADI)是全球领先的半导体公司,致力于在现实世界与数字世界之间架起桥梁,以实现智能边缘领域的突破性创新。ADI提供结合模拟、数字和软件技术的解决方案,推动数字化工厂、汽车和数字医疗等领域的持续发展,应对气候变化挑战,并建立人与世界万物的可靠互联。ADI公司2022财年收入超过120亿美元,全球员工2.4万余人。携手全球12.5万家客户,ADI助力创新者不断超越一切可能。更多信息,请访问www.analog.com/cn。
关于作者
Stephen Nugent是ADI公司自动化测试设备团队的应用工程师。2014年毕业于英国贝尔法斯特女王大学,获电气电子工程硕士学位。Stephen于2014年加入ADI公司,负责为模拟开关和多路复用器产品系列提供技术支持。