

随着信息化智能化应用的飞速发展,智能笔的应用领域也日趋广泛。在智能笔的唤醒和续航时长功能设计中,使用开关触发低功耗模式是核心需求,传统的垂直场感应芯片会因磁场方向偏移导致触发盲区(如图1所示),影响产品使用。因此,对芯片的低功耗性能和能够消除旋转盲区,360°可靠触发的特性要求显得尤为重要。

图1 垂直场芯片:磁场分布图(左)磁铁旋转运动磁场分布曲线图(右)
江苏多维科技推出的全极型TMR13Nx系列磁开关传感器芯片,基于隧道磁阻(TMR)技术,为智能笔提供全极型开关磁触发解决方案。

图2 智能笔应用原理图
产品特性
纳安级功耗实现超长待机 :在分时供电模式下,TMR13Nx静态电流低至200nA。
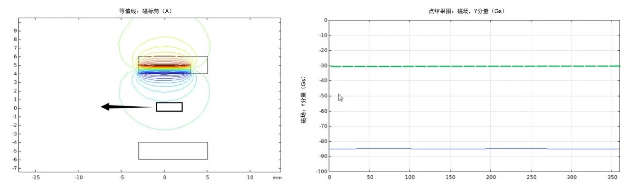
水平场感应消除旋转盲区 :敏感方向平行于PCB,磁通线始终垂直穿透感应面,无角度依赖性,全向无盲区触发(如图3所示)。

图3 水平场芯片:磁场分布图(左)磁铁旋转运动磁场分布曲线图(右)
全极型触发简化生产工艺 :N/S极磁铁都可以直接触发开关,简化生产工艺步骤,提高量产效率。

图4 TMR13Nx开关传感器芯片应用原理图
磁信号响应频率高 :在实低功耗功能的同时,TMR13Nx磁开关传感器芯片磁信号响应频率可达50Hz,高出Hall传感器数倍。
TMR13Nx产品选型表 

如需获取TMR13Nx磁开关传感器芯片样品与技术支持,请联系我们。
来源:多维科技